La vidéo capillaroscopie péri-unguéale prédit une progression sévère à trois ans dans la sclérodermie systémique : Résultats de l’étude SCLEROCAP
Carine Boulon, Iban Larrouture, Sophie Blaise, Marion Mangin, Joëlle Decamps-Le Chevoir, Patricia Senet, et al.
Nailfold video capillaroscopy predicts severe progression at three years in systemic sclerosis: Results from SCLEROCAP study.
Microvasc Res. 2025 Sep 16:163:104874.doi: 10.1016/j.mvr.2025.104874.
Objectif
La sclérodermie systémique (ScS) est une maladie chronique grevée d’une haute morbidité et mortalité en cas de fibrose pulmonaire, de complications cardiaques ou de crise rénale sclérodermique. La vidéo capillaroscopie péri-unguéale (NVC) est anormale au début de la maladie et elle est cruciale pour le diagnostic (elle fait d’ailleurs partie des critères ACR/EULAR 2013). Certains auteurs ont suggéré son rôle dans le risque évolutif des patients (Vanhaecke et al., 2022).
Il s’agit d’une étude prospective qui tente d’évaluer si la capillaroscopie peut identifier les patients atteints de ScS à risque de progression.
Méthodes
SCLEROCAP est une étude française observationnelle, multicentrique, prospective qui inclut des patients avec un diagnostic de ScS et suivis pendant trois ans. Chaque patient a une évaluation standard avec capillaroscopie de façon annuelle. Les images de NVC sont lues par 2 observateurs en aveugle et sont classés en sous-types (2 pour la classification de Maricq et 3 pour Cutolo). La progression sévère est définie comme une atteinte ou progression cardiaque, pulmonaire ou rénale (atteinte digestive non comptée) et elle validée par un comité dédié à cette étude.
Résultats
- 387 patients (60 hommes, 327 femmes) ont été inclus dont 369 ont été suivis
- 88 patients (23%) étaient classés comme ScS très précoces et/ou sine scleroderma, 243 (63%) en ScS cutanée limitée et 56 (14%) cutanée diffuse.
- 53 (14%) ont une progression sévère (cœur, poumons ou rein) après évaluation par le comité : pneumopathie interstitielle diffuse chez 41 patients (11%), hypertension pulmonaire chez 18 (5%), maladie myocardique dans 1 (0,3%) et crise rénale dans 1 (0,3%).
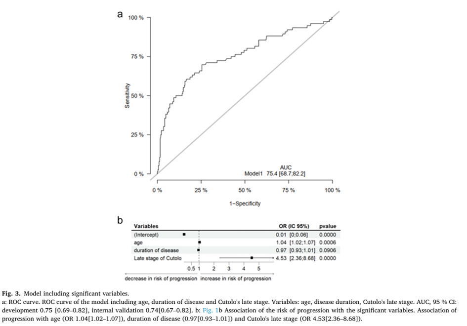
- Après avoir testé un modèle incluant toutes les variables potentielles permettant de prédire l’aggravation du patient, il s’avère que le modèle plus simple construit avec les seules variables statistiquement significatives dans le premier modèle (âge plus avancé, courte durée de la maladie, stade tardif de Cutolo) était aussi puissant pour prédire une progression sévère qu’un modèle utilisant tous les paramètres connus pour être prédictifs (respectivement ASC [95 %CI] 0,74[0,67–0,82] vs 0,73[0,64–0,77], Fig.1 correspondant à la Fig.3 de cet article en copie ci-dessous).
Conclusion
Les points forts de cette étude sont : être prospective et multicentrique, le suivi de trois ans, la grande taille de l’échantillon, la méthodologie rigoureuse, la relecture en aveugle des images de la capillaroscopie, la reproductibilité inter-observateur et intra-observateur validée, et l’évaluation de la progression par un comité multidisciplinaire. Ces résultats confirment qu’un stade tardif de Cutolo, caractérisé par une faible densité capillaire, des zones avasculaires et une désorganisation avec de la néoangiogenèse est un facteur prédictif de progression sévère à trois ans, surtout de l’hypertension pulmonaire et de la pneumopathie interstitielle. Ainsi, la prise en compte de la NVC pourrait fournir des informations utiles pour la décision thérapeutique précoce dans ScS. Cependant, SCLEROCAP était basé sur des capillaroscopies effectuées par des examinateurs expérimentés qui avaient une formation spécifique, aussi les auteurs concluent que cette formation est obligatoire avant d’appliquer ces résultats.
Fig.1 : modèle plus simple construit avec les seules variables statistiquement significatives dans le premier modèle

